Presentamos una tercera (y última) entrega sobre el sistema de composición de Bartók. En la primera parte ya hablamos de la organización tonal de su música, y en la segunda parte estuvimos viendo su organización escalística. Por lo tanto, ahora nos centraremos en la estructuración formal que parece intuirse en la música de Bartók. Cabe recordar que este compositor no dejó nada escrito acerca de su sistema, y que lo que estamos presentando aquí son resultados obtenidos de diferentes análisis de su música que podemos encontrar en bibliografía esencial como Lendvai (2003), Antokoletz (2000) o Catalán (2003), así como evidencias empíricas tras analizar algunas de sus piezas.
3. Organización formal
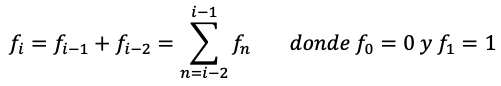
Como se vio en la segunda entrega de ese monográfico dedicado a Bartók, un pensamiento matemático aparece recurrentemente tanto en la formación de escalas como en la organización de ejes. Es la sucesión de Fibonacci, definida como:

Si tomamos los elementos de esta sucesión (0, 1, 1, 2, 3, 5, 8, 13, 21, 34, 55, 89, 144, 233, 377, …) y calculamos los cocientes entre elementos sucesivos, vemos que:

es una sucesión acotada que tiende a un valor constante:

0, 1, 1, 2, 3, 5, 8, 13, 21, 34, 55, 89, 144, 233, 377, …
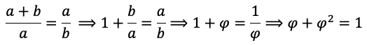
Este valor es un número irracional de valor aproximado 0.618. Es decir, un elemento cualquiera de la serie es 0.618 veces el siguiente (o, a la inversa, cualquier elemento de la serie es 1.618 veces el anterior). Lo curioso de este factor de proporcionalidad es una propiedad específica que lo hace diferente cualquier otro: nos permite dividir un segmento en dos partes desiguales en las que, para pasar de la menor a la mayor, tengo que multiplicar por el mismo factor que para pasar de la parte mayor al segmento total:

Si resolvemos este sistema de ecuaciones para hallar el valor de φ, llegamos a una ecuación de segundo grado:

La solución es doble, como todos sabemos:

Aunque solo una de dichas soluciones es un número positivo. El valor de esta constante de proporcionalidad, también llamada “número áureo” o “proporción áurea”, es:

Por tanto, tomando aproximadamente el 61.8% de una cantidad, sea la que sea, obtendremos dos partes desiguales donde la menor es también el 61.8% de la mayor. Compositivamente, esto tiene una potencia altísima, ya que se puede continuar operando de esta manera y dividir la pieza en secciones cuya proporción se mantiene constante.
Ejemplo: Si tomamos un fragmento musical de 34 compases (o 34 minutos, o 34 unidades de la magnitud que nos interese), podemos dividirla en fragmentos de acuerdo con la sucesión de Fibonacci, de modo que la relación de tamaños se mantiene inalterada. Acabamos de crear una estructura fractal, con autosimilitud.

Este tipo de pensamiento está detrás de la organización formal de algunas piezas de Bartók. La ubicación de puntos culminantes, de aparición de nuevos temas o de cambios texturales importantes se hace según una división de la duración total en fragmentos que cumplen con esta proporción.
Es el caso del 1º movimiento de la Música para cuerdas, percusión y celesta. En el siguiente enlace se puede escuchar esta pieza:
Este primer movimiento es una magistral fuga sobre un tema bastante cromático cuya interválica, por cierto, recuerda mucho a la escala 1:2 (semitono-tono) que se mencionó previamente en la segunda parte de esta serie de artículos dedicados a Bartók.
Lo primero que podemos observar es que este movimiento tiene 88 compases en total. Formalmente, la pieza tiene varios momentos importantes, que son los siguientes:
- Entrada de la percusión: compás 34
- Punto culminante: compás 56
- Entrada de la celesta: compás 78
Si visualizamos estos números, encontramos un claro parecido con la sucesión de Fibonacci anteriormente mencionada:

Bartók, de manera consciente o no (nunca lo sabremos porque no lo dejó escrito), ubicó el punto culminante después de 55 compases, tal y como podemos apreciar en la partitura. El crescendo hasta esa dinámica fff, junto con el cambio drástico de textura, constituyen un claro indicio de que ese momento es, estructuralmente, de gran importancia, y justamente divide este movimiento en dos secciones cuya proporción es la proporción áurea:

De manera análoga, los primeros 55 compases se organizan mediante una división que guarda una proporción similar, ya que hace uso de la misma sucesión de Fibonacci. En este caso, la entrada de la percusión (compás 34) es una clara división formal. Lo mismo sucede desde ese punto culminante hasta el final, aunque, en este caso, Bartók modifica levemente el número de compases, disponiendo 33 en lugar de 34.
Como hemos mencionado, este movimiento es una fuga. Si nos fijamos en las primeras entradas del sujeto, tenemos:
- 1ª entrada: anacrusa compás 1
- 2ª entrada: anacrusa de compás 5
- 3ª entrada: final de compás 8
- 4ª entrada: anacrusa de compás 13

De nuevo, la similitud entre la disposición de estas entradas y la sucesión de Fibonacci es realmente sorprendente.
Finalmente, podemos ver una disposición global de los diferentes elementos de este movimiento de acuerdo a divisiones temporales que siguen la sucesión de Fibonacci con una fidelidad altísima. La siguiente imagen muestra esta organización:

Es realmente asombroso comprobar hasta qué punto la ordenación de los elementos en esta pieza sigue la sucesión de Fibonacci y la búsqueda de una proporción similar a cualquier escala (la proporción áurea). Es cierto que hay ligeras variaciones (marcadas con números azules en la figura anterior), pero esto no invalida en absoluto el pensamiento sistemático del compositor. Estamos ante una obra de arte, y no ante una ley física inamovible, por lo que las razones para variar una estructura previamente definida pueden ser múltiples y variadas.
Recordemos de nuevo que no sabemos realmente si el pensamiento de Bartók fue este o fue otro. No lo dejó escrito y nunca se sabrá. Pero lo que sí podemos decir es que la realidad de la partitura es la que se ha presentado, que los materiales y la ordenación de los mismos siguen una sistematización que es difícilmente reproducible de manera aleatoria, y que todo esto hace que nuestro oído encuentre relaciones temporales similares a distintas escalas gracias a las propiedades de autosimilitud de la proporción áurea.
Si sumamos lo que ya sabemos en cuanto a la sistematización de ejes, al uso de escalas muchas de las cuales surgen también de la misma sucesión numérica, y al resto de aspectos comentados en esta serie de artículos (parte 1 y parte 2), no nos queda más que descubrirnos ante el inmenso talento creativo de un compositor excepcional que desarrolló un lenguaje propio e inconfundible.
Referencias:
Antokoletz, E. (2000). La música de Bela Bartok. Estudio de la tonalidad y progresión en la música del S.XX. Barcelona, España: Idea Books.
Catalán, T. (2003). Sistemas compositivos temperados en el siglo XX. Valencia, España: Piles.
Lendvai, E. (2003). Béla Bartók: un análisis de su música. Barcelona: Idea Books.
